План Государственных закупок 2021г. » Детская музыкальная школа №5 им. М. Тулебаева
Коммунальное государственное учреждение
"Детская музыкальная школа №5
имени Мукана Тулебаева"
Управления образования города Алматы
Телефоны:
Директор +7(727) 236-10-30
Ресепшн +7(727) 228-43-74
Учебная часть 236-10-28
Версия
для слабовидящих
05
апрель
2021

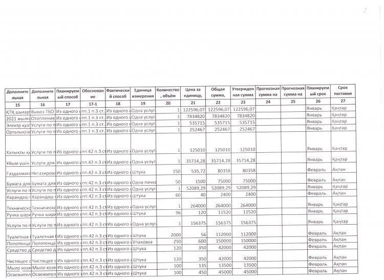
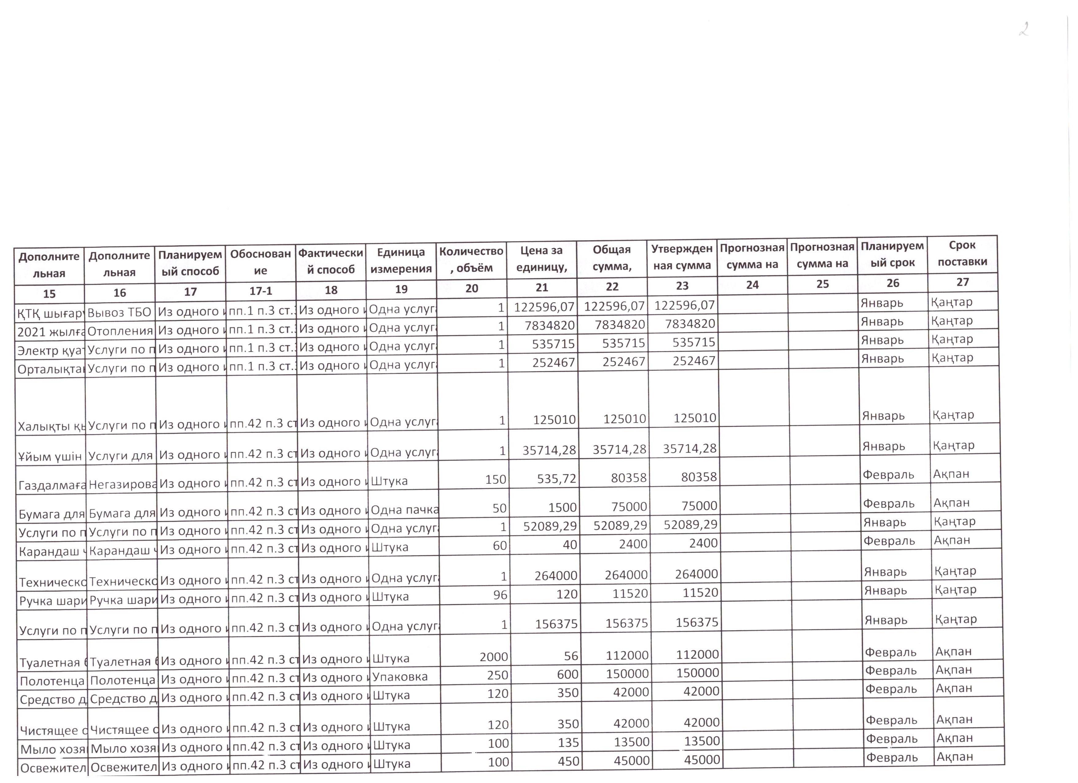
План Государственных закупок 2021г.






Прокомментировать
Введите код с картинки:* Кликните на изображение чтобы обновить код, если он неразборчив